
У темної матерії дві основні властивості: вона має масу, як звичайна матерія, і, на відміну від звичайної матерії, вона слабо або взагалі не взаємодіє зі світлом. Нейтрино задовольняють ці два критерії, але нейтрино рухаються в просторі майже зі швидкістю світла, що робить їх формою гарячої темної матерії. Натомість спостереження вказують на те, що темна матерія холодна. Також нейтрино недостатньо, щоб пояснити всю темну матерію, тому науковці знають: темна матерія не складається з нейтрино. Жодна інша відома частинка не відповідає критеріям, а тому досі немає уявлення, з чого може складатися темна матерія. Існують тільки передбачення фізиків-теоретиків.
Одна з найпопулярніших теоретичних ідей полягає в тому, що темна матерія складається з масивних частинок, які слабко взаємодіють (weakly interacting massive particles, WIMP). Існують різні варіанти WIMP, але основна ідея полягає в тому, що це частинки, які набагато масивніші, щоб їх можна було спостерігати в прискорювачах частинок, які нині мають фізики. Одна із властивостей WIMP є та, що вони — спонтанно або через взаємодію — розпадаються на менш масивні частинки, які фізики можуть спостерігати.
Через це було виконано кілька пошуків випромінювань від темної матерії, таких як гамма-промені. Ідея полягає в тому, що коли темна матерія стикається, вона може створити каскад високоенергетичних частинок і випромінювання. Переконливих доказів цьому поки що не отримано. Проте, якщо темна матерія взаємодіє, вона не взаємодіє сильно і не утворює значного випромінювання.
Але нещодавнє дослідження розглядає частинки розпаду WIMP інакше. Замість того, щоб прямо виявляти високоенергетичні частинки розпаду, науковці вирішили з՚ясувати, як фонове світло взаємодіятиме з цими частинками. Виявилося, що можуть бути взаємодії, які впливають на світло від далеких галактик і це можна виміряти.

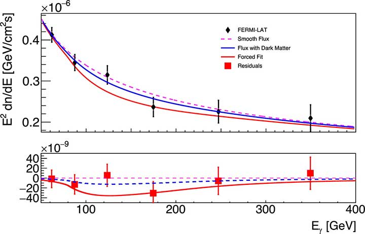
Графік, де порівняно спостережуваний потік світла від центра Галактики з моделями розсіювання темної матерії. Хоча в даних є багато невизначеності, вони слабо корелюють з обома моделями розсіювання. Авторські права на зображення: Acar, et al. Фото з сайту www.universetoday.com.
Наукова група розрахувала теоретичні перерізи розсіювання для двох випадків темної матерії: одного, де темна матерія взаємодіє лише гравітаційно, і одного, де зіткнення частинок темної матерії утворюють вторинні частинки. З՚ясовано, що в першому випадку фотони низької енергії мають тенденцію розсіюватися більше вперед, тоді як у другому — фотони мають тенденцію частіше розсіюватися назад. Це означає: якщо темна матерія є чисто гравітаційною, то світло, яке проходить крізь неї, отримає трохи додаткової енергії загалом, що трохи змістить його до синьої ділянки електромагнітного спектра. Якщо темна матерія слабо взаємодіє, то світло, що проходить через неї, втрачає трохи енергії та має трохи червоніший вигляд.
Варто підкреслити, що цей ефект зміни кольору дуже незначний. Він занадто малий, щоб взяти до уваги альтернативні космологічні моделі, такі як «втомлене світло». Але ефект може бути достатньо великим, щоб його виявити через спостереження. Наприклад, автори порівняли свої моделі з даними спостережень центра Молочного Шляху, виконані за допомогою телескопа LAT на космічному зонді «Фермі». Виявилося, що обидві моделі відповідають невизначеностям спостережень, які нині фіксують науковці. Чутливіші спостереження високоенергетичних гамма-променів з центра нашої галактики можуть підтвердити або спростувати цю модель.
Темна матерія лишається глибокою загадкою космології, тому варто далі шукати нові ідеї. Можливо, відкриття темної матерії доведе, що ми бачимо Всесвіт крізь рожеві окуляри.
За інф. з сайту www.universetoday.com









